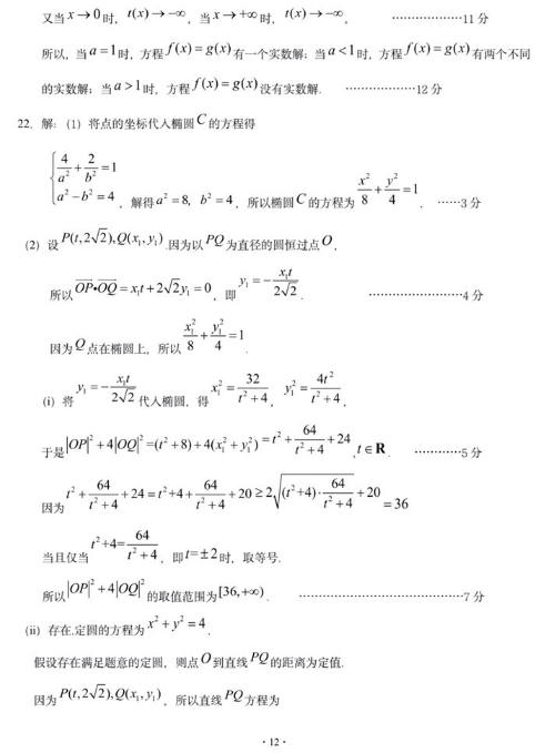
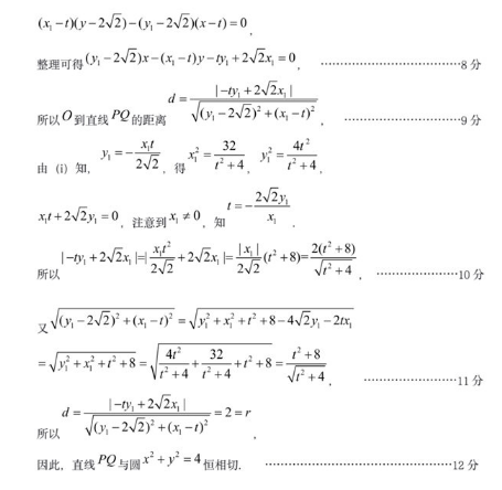
2021山东高考数学冲刺押题密卷及答案 时间:2021-04-26 10:56 数学试题 2020山东高考数学冲刺押题密卷及答案 半岛网页版登录入口 | 江南在线 | 星空平台客服 | IM在线 | 开云在线开户/注册/备用/官网 | 乐竞在线注册 | 完美在线 | 江南官方网站·(中国)集团股份有限公司 | 江南注册 |