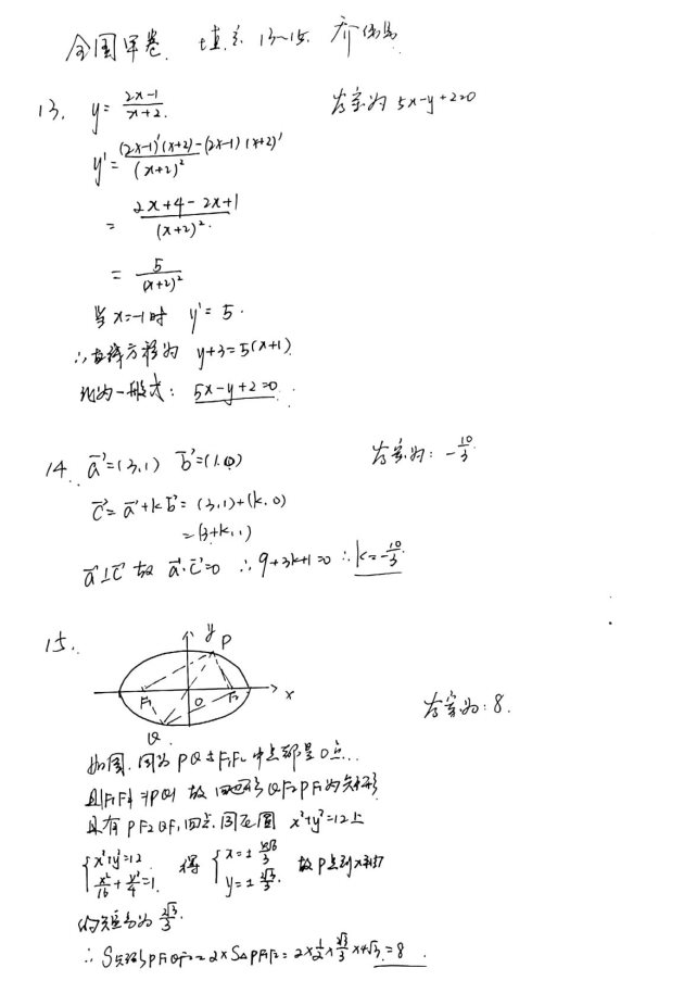
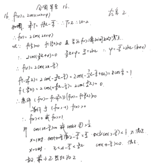
2021年西藏理科数学真题答案解析 时间:2021-06-08 12:01 数学试题 半岛网页版登录入口 | 江南在线 | 星空平台客服 | IM在线 | 开云在线开户/注册/备用/官网 | 乐竞在线注册 | 完美在线 | 江南官方网站·(中国)集团股份有限公司 | 江南注册 |