2021年福建高考数学试题答案解析
2021年普通高等学校招生全国统一考试
数学
本试卷共4页,22小题,满分150分,考试用时120分钟。
注意事项:1.答卷前,考生务必将自己的姓名、考生号、考场号和座位号填写在答题卡上。用2B铅笔将试卷类型(B)填涂在答题卡相应位置上,将条形码横贴在答题卡右上角“条形码粘贴处”。
2.作答选择题时,选出每小题答案后,用 28铅笔在答题卡上对应题目选项
的答案信息点涂黑:如需改动,用橡皮擦干净后,再选涂其他答案,答案不
能答在试卷上,
3.非选择题必须用黑色字迹的钢笔或签字笔作答,答案必须写在答题卡各题目
指定区域内相应位置上;如需改动,先划掉原来的答案,然后再写上新答案:不准使用铅笔和涂改液。不按以上要求作答无效。
4.考生必须保持答题卡的整洁,考试结束后,将试卷和答题卡一井交回。
一、选择题:本题共8小题,每小题5分,共40分。在每小题给出的四个选项中,只有一项是符合题目要求的。
1. 设集合A= {x|-2<x<4}. B = {2,3,4,5},则A∩B=
A.{2} B.{2,3} C.{3,4,} D.{2,3,4}
2.已知z=2-i,则(
=
A.6-2i B.4-2i C.6+2i D.4+2i
3.已知圆锥的底面半径为
,其侧面展开图为一个半圆,则该圆锥的母线长为
A.2 B.2
C.4 D.4
4.下列区间中,函数f(x)=7sin(
)单调递增的区间是
A.(0,
) B.(
,
) C.(
,
) D.(
,
)
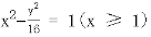
5.已知F1,F2是椭圆C:
的两个焦点,点M在C 上,则|MF1|·|MF2|的最大值为
A.13 B.12 C.9 D.6
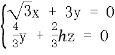
6.若tan
=-2,则
=
A.
B.
C.
D.
7.若过点(a,b)可以作曲线y=ex的两条切线,则
A. eb<a
B. ea<b
C. 0<a<eb
D. 0<b<ea
8.有6个相同的球,分别标有数字1,2,3,4,5,6,从中有放回的随机取两次,每次取1个球,甲表示事件“第一次取出的球的数字是1”,乙表示事件“第二次取出的球的数字是2”,丙表示事件“两次取出的球的数字之和是8”,丁表示事件“两次取出的球的数字之和是7”,则
A.甲与丙相互独立
B.甲与丁相互独立
C.乙与丙相互独立
D.丙与丁相互独立
二、选择题:本题共4小题,每小题5分,共20分。在每小题给出的选项中,有多项符合题目要求。全部选对的得5分,部分选对的得2分,有选错的得0分。
9.有一组样本数据x1,x2,…,xn,由这组数据得到新样本数据y1,y2,…,yn,其中
yi=xi+c(i=1,2,…,n),c为非零常数,则
A.两组样本数据的样本平均数相同
B.两组样本数据的样本中位数相同
C.两组样本数据的样本标准差相同
D.两组样本数据的样本极差相同
10.已知O为坐标原点,点P1(cosα,sinα),P2(cosβ,-sinβ),P3(cos(α+β),sin(α+β)),A(1,0),则
A.|
=
B.
=
C.
=
D. 
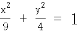
11.已知点P在圆
+
=16上,点A(4,0),B(0,2),则
A.点P到直线AB的距离小于10
B.点P到直线AB的距离大于2
C.当∠PBA最小时,|PB|=3
D.当∠PBA最大时,|PB|=3
12.在正三棱柱ABC-
中,AB=A
,点P满足
,其中λ∈[0,1],
∈[0,1],则
A.当λ=1时,△
P的周长为定值
B. 当
=1时,三棱锥P-
C. 当λ=
时,有且仅有一个点P,使得
D.当
=
时,有且仅有一个点P,使得
B⊥平面A
P
三.选择题:本题共4小题,每小题5分,共20分
13.已知函数f(x)=
是偶函数,则a=____________
14.已知O为坐标原点,抛物线C:
的焦点为F,P为C上一点,PF与x轴垂直,Q为x轴上一点,且PQ⊥OP,若|FQ|=6,则C的准线方程为____
15. 函数f(x) =|2x-l|-2lnx的最小值为
16. 某校学生在研究民间剪纸艺术时,发现此纸时经常会沿纸的某条对称轴把纸对折.规格为20dmXl2dm的长方形纸.对折1次共可以得到10dmX2dm . 20dmX6dm两种规格的图形,它们的面积之和
=240 dm2,对折2次共可以得5dmX12dm ,10dmX6dm,20dmX3dm三种规格的图形,它们的面积之和
180dm2.以此类推.则对折4次共可以得到不同规格图形的种数为______:如果对折n次,那么
=______dm2
四、解答题:本题共6小题,共70分,解答应写出文字说明、证明过程或演算步骤。
17.(10分)已知数列{
}满足
=1,
(1)记
=
,写出
,
,并求数列
的通项公式;
(2)求
的前20项和
18.(12 分)
某学校组织"一带一路”知识竞赛,有A,B两类问题・每位参加比赛的同学先在两类问题中选择类并从中随机抽収一个问题冋答,若回答错误则该同学比赛结束;若 回答正确则从另一类问题中再随机抽取一个问題回答,无论回答正确与否,该同学比赛 结束.A类问题中的每个问题回答正确得20分,否则得0分:B类问题中的每个问题 回答正确得80分,否则得0分。
己知小明能正确回答A类问题的概率为0.8 ,能正确回答B类问題的概率为0.6 . 且能正确回答问题的概率与回答次序无关。
(1)若小明先回答A类问题,记X为小明的累计得分,求X的分布列:
(2)为使累计得分的期望最大,小明应选择先回答哪类问题?并说明理由。
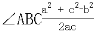
19.(12分)
记△ABC的内角A,B,C的对边分别为a.,b.,c,已知
=ac,点D在边AC 上,BDsin∠ABC = asinC.
(1)证明:BD = b:
(2)若AD = 2DC .求cos∠ABC.
20.(12分)
如图,在三棱锥A-BCD中.平面ABD丄平面BCD,AB=AD.O为BD的中点.
(1)证明:OA⊥CD:
(2)若△OCD是边长为1的等边三角形.点E在 棱AD上. DE = 2EA .且二面角E-BC-D的大小为45°,求三棱锥A-BCD的体积.
21.(12分)
在平面直角坐标系xOy中,己知点
(-
7,0),
(
7,0),点M满足|MFt|-|MF2|=2.记M 的轨迹为C.
(1)求C的方程;
(2)设点T在直线
上,过T 的两条直线分别交C于A,B两点和P,Q两点,且|TA|
|TB|=|TP|
|TQ| ,求直线AB的斜率与直线PQ的斜率之和
22.(12分)
已知函数f(x)=x(1-lnx)
(1)讨论f(x)的单调性
(2)设a,b为两个不相等的正数,且blna-alnb=a-b证明:
新高考Ⅰ卷数学答案解析
1.B
2.C
3.B
4.A
5.C
6.C
7.D
8.B
9.CD
10.AC
11.ACD
12.BD
13.a=1
14.
15.1
16.5;
17.
(1)解:由题意得b1=a2=a1+1=2,b2=a4=a3+1=5
∵b1=a2=a1+1,∴a2-a1=1.
b2=a4=a3+1=a2+3 ∴a4-a2=3.
同理a6-a4=3
……
bn=a2n-a2n-2=3.
叠加可知a2n-a1=1+3(n-1)
∴a2n=3n-1
∴bn=3n-1.验证可得b1=a2=2,符合上式.
(2)解:∵a2n=a2n-1+1
∴a2n-1=a2n-1=3n-2.
∴设{an}前20项和为S20
∴S20=(a1+a3+…+a19)+(a2+a4+…+a20)
=145+155=300
18.
(1)解:
由题意得x=0,20,100.
P(x=0)=0.2
P(x=20)=0.8×0.4=0.32
P(x=100)=0.48
X | 0 | 20 | 100 |
P | 0.2 | 0.32 | 0.48 |
∴
(2)解:
小明先选择B,得分为y
∴y=0,80,100
P(y=0)=0.4
P(y=80)=0.6×0.2=0.12
P(y=100)= 0.6×0.8=0.48
y | 0 | 80 | 100 |
p | 0.4 | 0.12 | 0.48 |
∴
Ex=54.4 Ey=57.6
∴小明应先选择B.
19.

(1)由正弦定理
得
,即
=
又由BD
=asinc,得BD
=asinc,
即
BD=b
(2) 由AD=2DC,将
=2
,即
=
=
|
|2
|
|2+
|
|2+ 
=
c2+
a2+
c
a
-11ac+3
=0
a=
c或a=
c
①
cos
=
=
②
cos
(x)
综上
cos
=
20.

(1)证明:
由已知,
中AB=AD且O为BD中点
AO⊥BD
又平面ABD⊥平面BCD
AO⊥平面BCD且CD
平面BCD
AO⊥CD
(2)由于
为正三角形,边长为1
OB=OD=OC=CD
BCD=
取OD中点H,连结CH,则CH⊥OD
以H为原点,HC,HD,HZ为x,y,z轴建立空间直角坐标系
由①可知,平面BCD的法向量
设C(
),B(0,
),D(0,
)
则
DE=2EA

且
设
⊥平面BEC
=(x,y,z)
,即

由于二面角E-BC-D为


=
=
21.(1)
, 
表示双曲线的右支方程:
(2)设
,设直线AB的方程为
,
,得






设
,同理可得

所以
得



即
22.(1)f(x)=x-xlnx

令f’(x)>0,则0<x<1,
令f’(x)<0,则x>1
∴f(x)的单调增区间为(0,1),单调减区间为(1,+∞).
(2)
即
,即f(
)=f(
)
令p=
,q=
,不妨设0<p<1<q,下面证明2<p+q<e.
① 先证p+q>2,当p≥2时结论显然成立.
当q∈(1,2)时,p+q>2,,则p>2-q,∴2-q<1.只需设f(p)>f(2-q).
即证当q∈(1,2)时,由f(p)>f(2-q)
令g(x)=f(x)-f(2-x).
g’(x)=f’(x)+f’(2-x)=-lnx-ln(2-x)=-ln[-(x-1)2+1]
当x∈(1,2)时,-(x-1)2+1<1,所以g’(x)>0,
∴g(x)在(1,2)上单调递增,
∴g(q)>g(1)=0,即f(q)>f(2-q)
②再设
,
当
时,
,当
时,
∴
∵
∴
要证
只需证
即证当
时,有
设
,
,
设
小于1的根为
,则
在
单调递增,在
单调递减.

证毕



