2021广西民族师范学院学费是多少-各专业收费标准
2021高考填报志愿时,广西民族师范学院学费多少钱一年、各专业收费标准是怎样的是广大考生和家长朋友们十分关心的问题,为了方便大家查询,江南电竞logo已经为大家整理好了广西民族师范学院收费标准,包含各专业学费、住宿费等信息,供大家参考,如有变动,以学校官方最新消息为准。
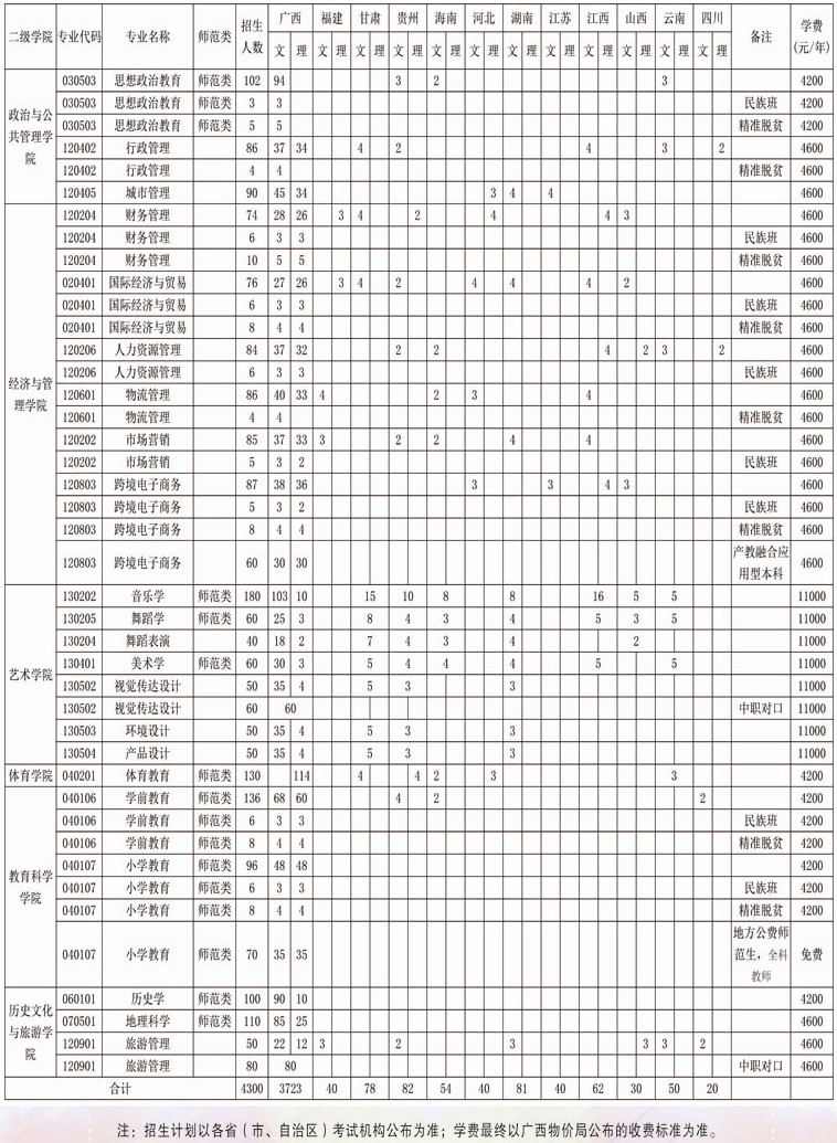
一、广西民族师范学院收费项目及收费标准2021年广西民族师范学院学费标准:
本科:普通类专业4200-4600元/年,体育类专业4200元/年,艺术类专业11000元/年。
专科:师范类专业免费,酒店管理与数字化运营专业5000元/年。
少数民族预科:少数民族预科A类免费,少数民族预科B类4200元/年。
说明:广西民族师范学院是公办大学
通常来说,公办大学由于有国家或地方财政经费支持,学费一般不是很贵,普通类专业通常4000-6000元每年,艺术类专业通常8000-10000元每年,不过公办大学也有中外合作等部分高收费专业,学费通常2-3万元一年甚至更高到十几万;民办大学由于需要自筹资金办学,学费一般都比较贵,普通类专业通常10000-20000元每年,2-3万一年也很多,当然也有更高的,艺术类专业那就更贵了。
家庭条件困难的学生,可以选择国家助学贷款,毕业后分期还款,国家财政还贴息,也算是国家对大学生的政策福利,在报考前最好先向学校咨询是否支持助学贷款以及办理贷款相关流程等事项。
二、广西民族师范学院简介广西民族师范学院地处中国通往东南亚门户城市、桂西南区域交通枢纽城市、具有悠久历史和光荣革命传统的广西壮族自治区崇左市,被誉为“南疆国门大学”。前身是1939年创办的广西省立龙州师范学校,历经广西省龙州师范学校、南宁专区龙州师范学校、南宁地区第二师范学校、南宁师范专科学校、南宁师范高等专科学校等阶段。2009年3月升格为广西民族师范学院,成为一所全日制普通本科院校。
升本以来,学校不断探索改革和发展之路,办学目标与思路逐渐明晰、办学规模不断扩大,教育教学质量和科研水平明显提高,为地方经济社会发展服务的能力和社会影响力明显增强。2016年,学校顺利通过教育部本科教学工作合格评估,学校踏上了由新建本科院校向成熟本科院校变革发展的新征程。2018年学校列入了2018-2020年广西新增硕士学位授予建设单位。



