中学生标准学术能力诊断性测试2024-2025学年高三上12月测试数学试题及答案
时间:
数学试题
中学生标准学术能力诊断性测试(TDA)2024-2025学年高三上12月测试数学考试已于近日开考,为方便考生考后及时查看考试情况,查漏补缺、弥补不足,本文整理了试题答案解析相关信息!
汇总:中学生标准学术能力诊断性测试(TDA)2024-2025学年高三上12月测试试题及答案汇总
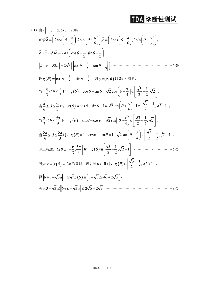
数学试题及答案解析





中学生标准学术能力诊断性测试(TDA)2024-2025学年高三上12月测试数学考试已于近日开考,为方便考生考后及时查看考试情况,查漏补缺、弥补不足,本文整理了试题答案解析相关信息!
汇总:中学生标准学术能力诊断性测试(TDA)2024-2025学年高三上12月测试试题及答案汇总
数学试题及答案解析




