辽宁省省重点中学协作校2025届高三上学期1月期末数学试题及答案
时间:
辽宁 数学试题
辽宁省省重点中学协作校2025届高三上学期1月期末数学考试已于近日开考,为方便考生考后及时查看考试情况,查漏补缺、弥补不足,本文整理了试题答案解析相关信息!
汇总:辽宁省省重点中学协作校2025届高三上学期1月期末考试试题及答案汇总
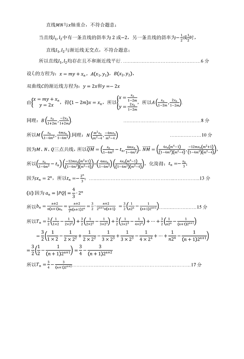
数学试题及答案解析










辽宁省省重点中学协作校2025届高三上学期1月期末数学考试已于近日开考,为方便考生考后及时查看考试情况,查漏补缺、弥补不足,本文整理了试题答案解析相关信息!
汇总:辽宁省省重点中学协作校2025届高三上学期1月期末考试试题及答案汇总
数学试题及答案解析









