扬州中学2024-2025学年高三下学期2月阶段月考数学试题及答案
时间:
江苏 数学试题
扬州中学2024-2025学年高三下学期2月阶段月考数学考试已于近日开考,为方便考生考后及时查看考试情况,查漏补缺、弥补不足,本文整理了试题答案解析相关信息!
汇总:扬州中学2024-2025学年高三下学期2月阶段月考试题及答案汇总
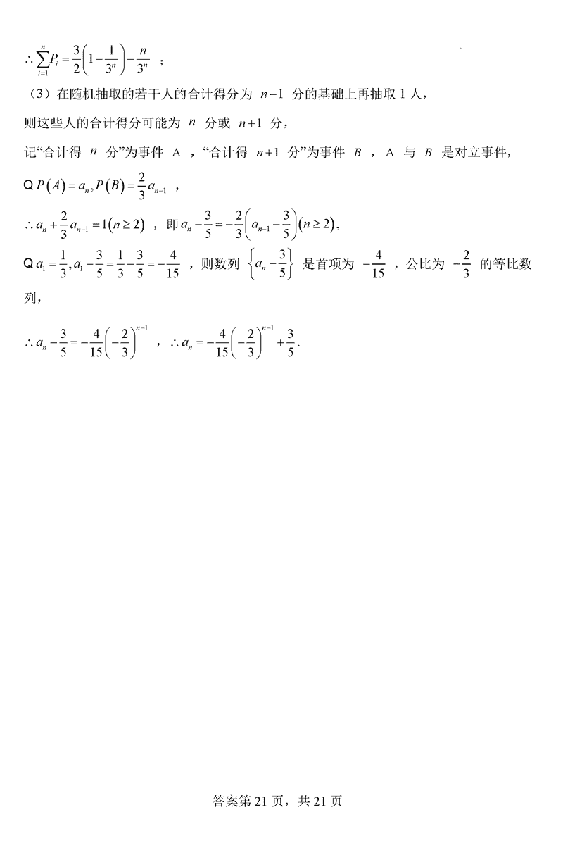
数学试题及答案解析





















扬州中学2024-2025学年高三下学期2月阶段月考数学考试已于近日开考,为方便考生考后及时查看考试情况,查漏补缺、弥补不足,本文整理了试题答案解析相关信息!
汇总:扬州中学2024-2025学年高三下学期2月阶段月考试题及答案汇总
数学试题及答案解析




















