福建莆田2025届高三第二次质检数学试题及答案
时间:
福建 数学试题
福建莆田2025届高三第二次质检数学考试已于近日开考,为方便考生考后及时查看考试情况,查漏补缺、弥补不足,本文整理了试题答案解析相关信息!
汇总:福建省莆田市2025届高中毕业班第二次教学质量检测试题及答案汇总
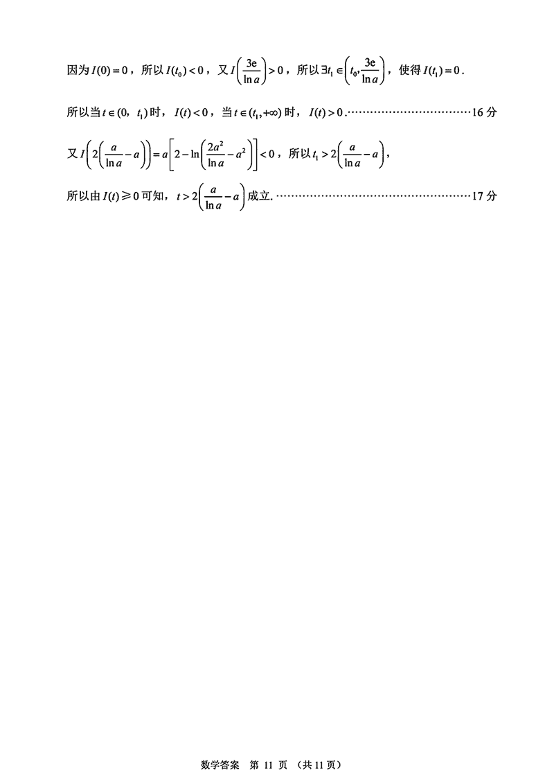
数学试题及答案解析
















福建莆田2025届高三第二次质检数学考试已于近日开考,为方便考生考后及时查看考试情况,查漏补缺、弥补不足,本文整理了试题答案解析相关信息!
汇总:福建省莆田市2025届高中毕业班第二次教学质量检测试题及答案汇总
数学试题及答案解析















