江南电竞logo >浙江高考 >浙江高考复习 >浙江高中数学 >

浙江卓越联盟2025年高一下学期5月联考数学试题及答案

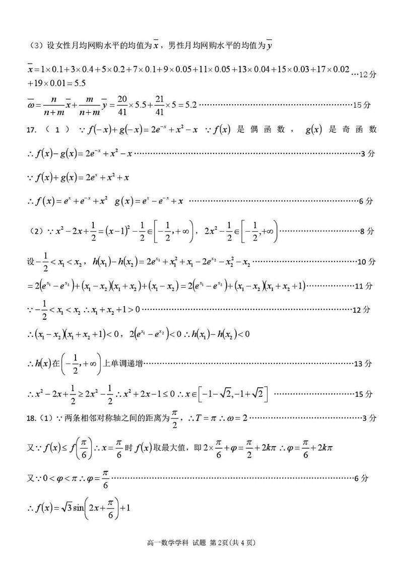
时间: 浙江 高中数学

浙江卓越联盟2025年高一下学期5月联考数学考试已于近日开考,为方便考生考后及时查看考试情况,查漏补缺、弥补不足,本文整理了试题答案解析相关信息!

数学试题及答案解析