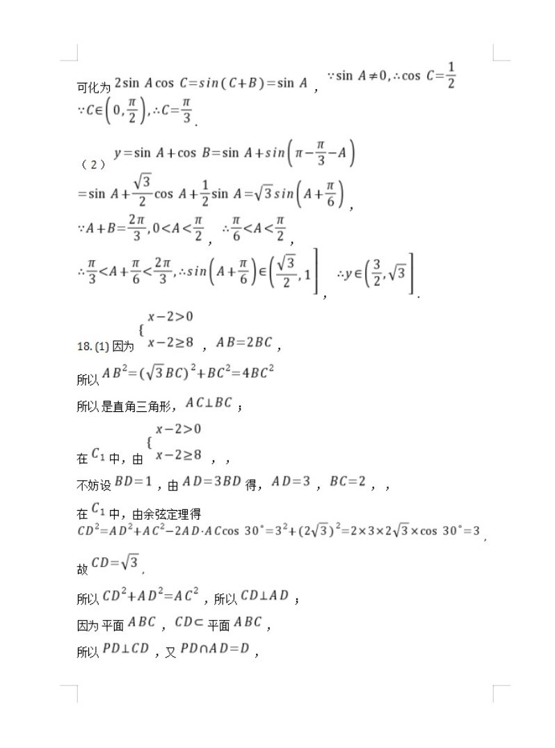
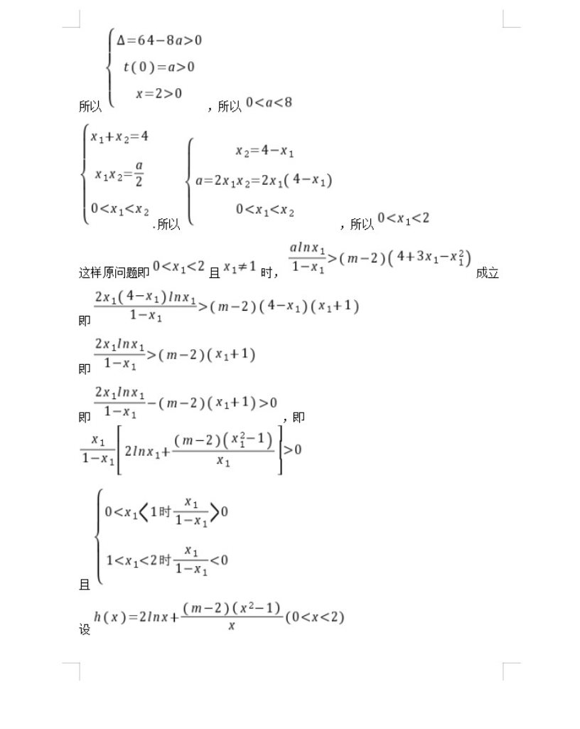
2020年福建省高考理科数学模拟试题及答案 时间:2020-04-23 09:06 数学试题 半岛网页版登录入口 | 江南在线 | 星空平台客服 | IM在线 | 开云在线开户/注册/备用/官网 | 乐竞在线注册 | 完美在线 | 江南官方网站·(中国)集团股份有限公司 | 江南注册 |