2020年黑龙江高考文科数学试题及答案解析
时间:
数学试题
全国高考2卷文科试题







参考答案
选择题
1.D 2.A 3.C 4.B 5.D 6.B 7.C 8.B 9.B 10.A 11.C 12.A
填空题
13.1/9
14.25
15.8
16.①③④
简答题
17.
18.
19.
20.
21.
22.
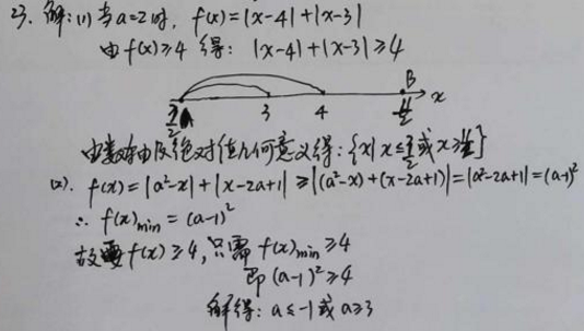
23.
以上答案解析来源:百度文库。
黑龙江高考数学试题&" />
全国高考2卷文科试题







参考答案
选择题
1.D 2.A 3.C 4.B 5.D 6.B 7.C 8.B 9.B 10.A 11.C 12.A
填空题
13.1/9
14.25
15.8
16.①③④
简答题
17.
18.
19.
20.
21.
22.
23.
以上答案解析来源:百度文库。