2020年西藏高考文科数学试题及答案解析
时间:
数学试题



试题来源:辰轩学府
参考答案
选择题
1.B 2.D 3.C 4.C 5.B 6.A 7.B 8.B 9.C 10.A 11.C 12.D
填空题
13、13.7
14、根号3
15、1
16、2π
解答题
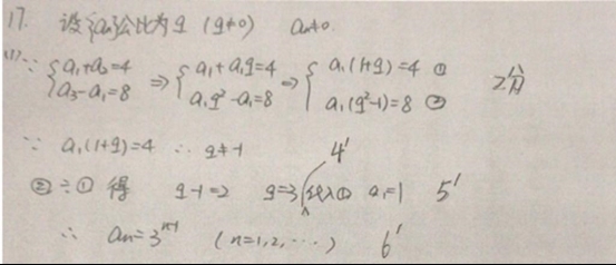
17


18



19


20


21


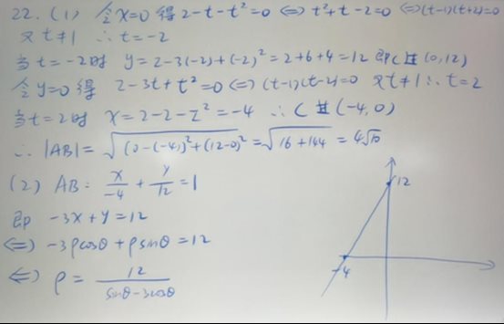
选考题22

选考题23

西藏高考数学试题" />



试题来源:辰轩学府
参考答案
选择题
1.B 2.D 3.C 4.C 5.B 6.A 7.B 8.B 9.C 10.A 11.C 12.D
填空题
13、13.7
14、根号3
15、1
16、2π
解答题
17


18



19


20


21


选考题22

选考题23
