2020年西藏高考理科数学试题及答案解析
时间:
数学试题



选择题
1.C 2.D 3.B 4.C 5.B 6.D 7.A 8.C 9.D 10.D 11.A 12.A
填空题
13、7
14、240
15、
16、②③
简答题
17、


18、

19、


20、

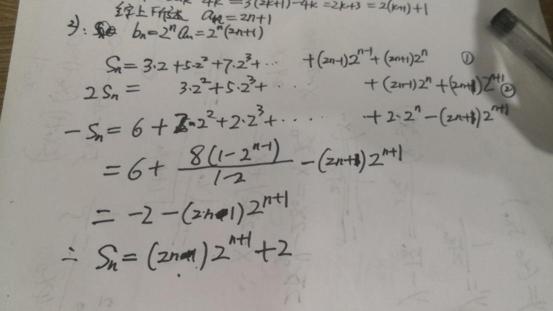
21、

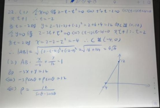
选考题22

选考题23

西藏高考数学试题" />



选择题
1.C 2.D 3.B 4.C 5.B 6.D 7.A 8.C 9.D 10.D 11.A 12.A
填空题
13、7
14、240
15、
16、②③
简答题
17、


18、

19、


20、

21、

选考题22

选考题23
