2020年青海高考理科数学试题及答案解析
2020年普通高等学校招生全国统一考试
理科数学
一、选择题:本题共12小题,每小题5分,共60分。在每小题给出的四个选项中,有一项是符合题目要求的。
1. 已知集合
,
,
,则
A. 
B. 
C. 
D. 
2. 若
为第四象限角,则
A. 
B. 
C. 
D. 
3.在新冠肺炎疫情防控期间,某超市开通网上销售业务,每天能完成1200份订单配货,由于订单量大幅增加,导致订单积压,为解决困难,许多志愿者踊跃报名参加配货工作。已知该超市某日积压500份订单未配货,预计第二天的新订单超过1600份的概率为0.05,。志愿者每人每天能完成50份订单的配货,为使第二天完成积压订单及当日订单的配货的概率不小于0.95,则至少需要志愿者
A.10名
B.18名
C.24名
D.32名
4.北京天坛的圜丘坛为古代祭天的场所,分上、中、
下三层,上层中心有一块圆形石板(称为天心石),环绕天心石砌9块扇面形石板构成第一环,向外每环依次增加9块。下一层的第一环比上一层的最后一环多9块,向外每环依次增加9块。已知每层环数相同,且下层比中层多729块,则三层共有扇面形石板(不含天心石)
A.3699块
B.3474块
C.3402块
D.3339块

5.若过点
的圆与两坐标轴都相切,则圆心到直线
的距离为
A. 
B. 
C. 
D. 
6.数列
中,
,
,若
,则
A. 2
B. 3
C. 4
D. 5
7.右图是一个多面体的三视图,这个多面体某条棱的一个端点在正视图中对应的点为
,在俯视图中对应的点为
,则该端点在侧视图中对应的点为
A.
B.
C.
D.

8.设
为坐标原点,直线
与双曲线
的两条渐近线分别交于
两点。若△
的面积为8,则
的焦距的最小值为
A.4
B.8
C.16
D.32
9.设函数
,则
A.是偶函数,且在
单调递增
B.是奇函数,且在
单调递减
C.是偶函数,且在
单调递增
D.是奇函数,且在
单调递减
10. 已知
是面积为
的等边三角形,且其顶点都在球
的球面上。若球
的表面积为
,则
到平面
的距离为
A.
B.
C. 1
D.
11. 若
则
A. 
B. 
C. 
D. 
12.
周期序列在通信技术中有着重要应用,若序列
满足
,且存在正整数
,使得
成立,则称其为
周期序列,并满足
的最小正整数
为这个序列的周期,对于周期为m的0-1序列
,
是描述其性质的重要指标,下列周期为5的0-1的序列中,满足
的序列是
A. 
B. 
C. 
D. 
二、填空题:本题共4小题,每小题5分,共20分。
13.已知单位向量
,
的夹角为45°,
与
垂直,则k=_______.
14.4名同学到3个小区参加垃圾分类宣传活动,每名同学只去1个小区,每个小区至少安排1名同学,则不同的安排方法共有 种。
15.设复数
,
满足
,则
,则
_______
16.设有下列四个命题:
:两两相交且不过同一点的三条直线必在同一平面内.
:过空间中任意三点有且仅有一个平面.
:若空间两条直线不相交,则这两条直线平行.
:若直线
平面
,直线
平面
,则
.
则下述命题中所有真命题的序号是_________.
①
②
③
④
三、解答题:共70分。解答应写出文字说明、证明过程或演算步骤。第17~21题为必考题,每个试题考生都必须作答。第22、23题为选考题,考生根据要求作答。
(一)必考题,共60分。
17.(12分)
中,
,
(1) 求
;
(2) 若
,求
周长的最大值.
18.(12分)
某沙漠地区经过治理,生态系统得到很大改善,野生动物数量有所增加,为调查该地区某种野生动物的数量,将其分为面积相近的200个地块,从这些地块中用简单随机抽样的方法抽取20个作为样区,调查得到样本数据
,其中
和
分别表示第i个样区的植物覆盖面积(单位:公顷)和这种野生动物的数量,并计算得
.
(1) 求该地区这种野生动物数量的估计值(这种野生动物数量的估计值等于样区这种野生动物数量的平均数乘以地块数)
(2) 求样本
的相关系数(精确到0.01);
(3) 根据现有统计资料,各地块间植物覆盖面积差异很大,为提高样本的代表性以获得该地区这种野生动物数量更准确的估计,请给出一种你认为更合理的抽样方法,并说明理由。
附:相关系数
,
.
19. (12分)
已知椭圆
:
的右焦点F与抛物线
的焦点重合,
的中心与
的顶点重合. 过F且与x轴垂直的直线交
于A、B两点,交
于C、D两点,且
.
(1) 求
的离心率;
(2) 设M是
与
的公共点. 若
,求
与
的标准方程.
20. 如图,已知三棱柱
的底面是正三角形,侧面
是矩形,
,
分别为
,
的中点,
为
上一点,过
和
的平面交
于
,交
于
.
(1)证明:
,且平面
平面
;
(2)设
为
的中心,若
平面
,且
,求直线
与平面
所成角的正弦值

21.(12分)
已知函数
(1) 讨论
在区间
的单调性;
(2) 证明:
;
(3) 设
,证明
.
(二)选考题:共10分,请考生在第22、23题中任选一题作答。并用2B铅笔将所选题号涂黑,多涂、错涂、漏涂均不给分,如果多做,则按所做第一题计分。
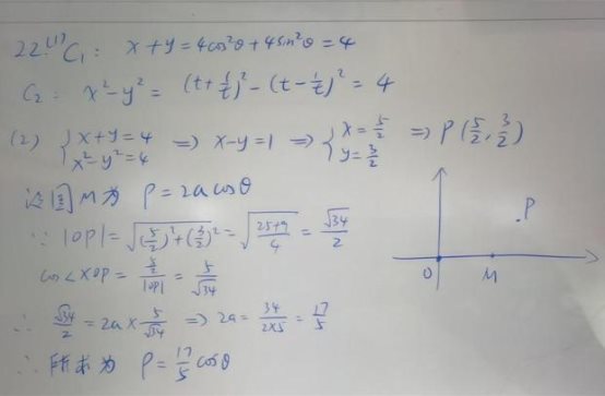
22.[选修4-4:坐标系与参数方程] (10分)
已知曲线
的参数方程分别为
,
,
(1) 将
的参数方程化为普通方程:
(2) 以坐标原点为极点,
轴正半轴为极轴建立极坐标系,设
的交点为
,求圆心在极轴上,且经过极点和
的圆的极坐标方程.
23. [选修4—5:不等式选讲](10分)
已知函数
.
(1) 当a=2时,求不等式f(x)≥4的解集;
(2) 若f(x)≥4,求a的取值范围.
参考答案:
选择题:1.A 2.D 3.B 4.C 5.B 6.C 7.A 8.B 9.D 10.C 11.A 12.C
填空题:13.
14.36
-

- ①③④
解答题:
17、


18、

(3) 根据各地块间植物覆盖面积进行分层抽样
19、

20、

21、

选考题22、

选考题23、




