2020广西高考文综试题及答案解析
2020年普通高等学校招生全国统一考试
文科综合能力测试-地理
一、选择题:本题共35小题,每小题4分,共140分。在每小题给出的四个选项中,只有一项是符合题目要求的。
自20世纪90年代,在经济全球化浪潮下,一些国家之间签订自由贸易协定,降低甚至取消彼此间部分商品的贸易关税,促进商品的自由贸易。图1示意汽车企业在已签订自由贸易协定的甲、乙两国的产业布局调整。据此完成1—3题。

图1
1.汽车企业将组装厂由甲国转移至乙国的主要目的是
A.创新技术 B.拓展市场 C.扩大规模 D.降低成本
2.该产业布局模式宜发生在邻国之间,主要原因是邻国之间
A.消费习惯相近 B.经济发展水平相近
C.运输费用较低 D.研发成本差异较小
3.该产业布局调整导致甲国汽车的
A.进口量增多 B.出口量增多
C.销售量增多 D.生产量增多
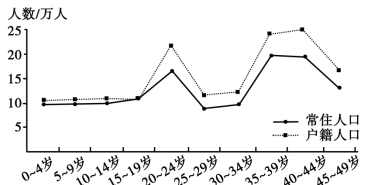
户籍人口与常住人口的差值可以表示当地人口常年(半年以上)外出的数量。图2显示2010年我国西部某市50岁以下各年龄组女性人数。调查表明,该市妇女生育峰值在21—29岁。据此完成4—6题。

图2
4.以下时间段中,该市人口出生率最高的为
A.2001~2005年 B.1991~1995年
C.1981~1985年 D.1971~1975年
5.造成该市20~24岁年龄组人数明显偏多的原因可能是,该组人口出生期间
A.生育政策放宽 B.经济发展提速
C.育龄妇女较多 D.生育观念转变
6.推测2010~ 2030年该市人口发展的变化是
A.人口出生率逐渐提高 B.人口增长较为缓慢
C.2025年迎来生育高峰 D.人口总量逐渐减少
图3示意某地质剖面,其中①指断层。据此完成7~8题。

图3
7.①②③④中最先形成的是
A.① B.② C.③ D.④
8.砂砾石层的下界为相对平坦而广阔的面。该面形成时期,所在区域可能
A.地壳持续抬升,遭受侵蚀
B.地壳持续下降,接受沉积
C.地壳运动稳定,遭受侵蚀
D.地壳运动稳定,接受沉积
勘察加火山群位于环太平洋火山带的北端,气候冷湿,火山锥各坡的降水差异小,近几十年来受全球气候变化的影响,火山锥的林线(森林分布上限)升高、雪线(终年积雪下限)有所降低。此外,其他干扰也影响林线和雪线高度。例如,火山喷发彻底做坏原有景观,若干年内该火山锥的林线与雪线高度往往发生显著变化。据此完成9~11题。
9.一般情况下,与阴坡相比,该地火山锥阳坡的
A.林线与雪线更高 B.林线与雪线更低
C.林线更高、雪线更低 D.林线更低、雪线更高
10.林线升高,雪线有所降低,表明火山群所在区域气候变化趋势为
A.暖湿 B.暖干 C.冷湿 D.冷干
11.火山喷发后若干年内,该火山锥
A.林线升高,雪线升高 B.林线升高,雪线降低
C.林线降低,雪线升高 D.林线降低,雪线降低
二、非选择题:共160分。第36~42题为必考题,每个试题考生都必须作答。第43~47题为选考题,考生根据要求作答。
(一)必考题:共135分。
36.阅读图文材料,完成下列要求。(22分)
马来西亚曾为世界最大的锡精矿生产国。自1986年开始实施工业化战略,经济持续数年高速增长,迅速进入新兴工业化国家的行列。20世纪80年代,该国锡矿资源枯竭,最大的锡矿坑积水成湖,周边矿场废置。自1990年起,利用该矿坑湖和废置矿场,陆续建起集主题公园、高尔夫俱乐部及球场、酒店和度假村、购物中心和商业城、国际会展中心、高档住宅区等为一体的休闲城。该休闲城成为闻名世界的旅游和休闲中心。图7示意该休闲城的位置。

(1)估算该休闲城至吉隆坡市中心和国际机场的距离,说明其位置优势。(4分)
(2)说明废置矿场和矿坑湖为建设该休闲城提供的有利条件。(6分)
(3)该休闲城定位高档。从马来西亚经济发展背景出发,分析该休闲城主要的客源市场。(8分)
(4)该休闲城规模大,集休闲娱乐、体育、会展、购物、酒店、住宅等于一体。简述这样的模式对吸引消费者的作用。(4分)
37.阅读图文材料,完成下列要求。(24分)
毛乌素沙地中流动沙地、固定沙地与湖泊、河流、沼泽等景观并存。上述景观在自然和人文因素影响下可发生转化。1995~2013年,流动沙地趋于固定,湖沼面积减小。一般而言,风沙沉积越多,风沙活动越强。某科研团队调查1万年以来毛乌素沙地东南部湖沼沉积和风沙沉积数量的变化,结果如图8所示。图9示意毛乌素沙地1995~2013年气温、降水的变化。

图8 图9
(1)分别简述图8所示I、Ⅱ、Ⅲ三个阶段湖沼面积和风沙活动的变化特征,并归纳湖沼面积与风沙活动的关系。(8分)
(2)说明毛乌素沙地1995~2013年流动沙地趋于固定的自然原因。(6分)
(3)毛乌素沙地1995~2013年湖沼面积减小,试对此做出合理解释。(6分)
(4)近些年来,毛乌素沙地绿化面积逐渐增大,有人认为“毛乌素沙地即将消失”。你是否赞同?表明你的态度并说明理由。(4分)
43.【地理—选修 3:旅游地理】
徽杭古道是古代徽商贩运盐、茶、山货的必经之路。近年来,徽杭古道安徽伏岭镇至浙江清凉峰镇段逐渐发展成为徒步旅游线路。下图示意该段徽杭古道所在区域的地形。

说明该段徽杭古道成为徒步旅游线路的优势条件。(10 分)
44.【地理—选修 6:环境保护】
据估计,建筑物的玻璃幕墙每年导致全球数以亿计的鸟儿死亡。某度假村建于燕山南麓沟谷之中,周边树木葱茏,鸟儿啼鸣,环境优美。建筑物整体顺谷地南北向延伸,外立面大面积使用玻璃幕墙(剖面如图所示)。该建筑建成初期,清晨和傍晚鸟儿频频撞击玻璃幕墙而死亡,且清晨多发于西侧而傍晚多发于东侧。

合理解释鸟儿撞击玻璃幕墙“清晨多发于西侧而傍晚多发于东侧”的原因,并提出解决措施。(10 分)
答案
1.D 2.C 3.A 4.D 5.C 6.B 7.D 8.C 9.A 10.A 11.B
36、(1)距吉隆坡市中心约 20 千米,距国际机场约 40 千米。离两地距离较近,临高速公路(交通方便,用时短), 方便吉隆坡市民和外地(国外)游客前往。
(2)废置矿场土地价格低,拆迁方便、投入低;矿坑湖水面较开阔,可作为休闲城环境景观营造的核心。
(3)马来西亚经济迅速发展,国内居民生活水平迅速提高,对休闲需求和休闲层次要求急剧提升,吉隆坡是首都,高消费人口集中,是最直接的客源地,国内其他地区也成为重要的客源市场;在经济全球化背景下,马来西亚经济迅速发展密切了与世界其他地区的联系,使吉隆坡吸引更多国际(政务、商务等)人员和游客,且休闲城高档具有品牌效应,因此,国际高消费人群成为重要的客源群体。
(4)满足多样化的消费需求; 服务全面且水平高,接待能力强。
37、(1)I 阶段湖沼面积有所扩大,风沙活动波动中略有减弱;II 阶段湖沼面积达到最大(极盛),风沙活动先弱后强;Ⅲ阶段湖沼面积骤减,风沙活动剧烈波动,增强。湖沼面积与风沙活动 此消彼长。
(2)气温无明显变化趋势,降水呈波动增加,有利于当地植被生长,流动沙丘(地)趋于固定。
(3)人类活动强度增加,生产生活消耗的水量增加,导致蒸发(腾)增加,地表水减少
(4)赞同 理由:年降水量已增加到近 450 毫米,趋向湿润,自然条件改善,流动沙地逐渐固定;随着科学技术进步,植树造林及农业生产水平不断提高,沙地景观最终消失。
反对 理由:沙地是一种自然景观,1 万年以来,尽管气候波动变化,这里沙地与湖沼景观共存(目前虽然偏湿润,可能过些年偏干旱;该沙地东南部降水偏多,但西北部降水较少);过度绿化(农业发展和植树造林),蒸腾量大增,会加重区域的干旱程度,导致风沙活动加强。
43、线路长度适中;沿途自然景观丰富、多样,特色鲜明;线路历史久,文化景观多,文化底蕴深厚;周边地区经济发达,人口众多,徒步旅游需求旺盛;距主要城市(杭州)等客源地较近,交通便利。
44、原因:清晨太阳从东面照射沟谷西侧的山体,明亮的山体和树木的影像映入朝西(西侧)的玻璃幕墙,鸟儿误认为镜像里是真实的山林,由西向东飞向西侧玻璃幕墙,撞击而亡。傍晚反之。解决措施:改变玻璃幕墙镜面效应,如在东西两侧立面上贴磨砂膜;在鸟儿撞击路线上设置障碍物;放置驱鸟装置等。
历史部分
注意事项:
1.答题前,考生务必用0.5毫米黑色签字笔将自己的姓名、座号、考生号、县区和科类写在答题卡和试卷规定的位置上。
2.第Ⅰ卷每小题选出答案后,用2B铅笔把答题卡上对应题目的答案标号涂黑;如需改动,用橡皮擦干净后,再选途其他答案标号。写在试卷上无效。
3.第Ⅱ卷必须用0.5毫米黑色签字笔作答,答案必须写在答题卡各题目指定区域内相应的位置;如需改动,先划掉原来的答案,然后再写上新的答案;不能使用涂改液、胶带纸、修正带。不按以上要求作答的答案无效。
一、选择题:本题共12小题,每小题4分,共48分。在每小题给出的四个选项中,只有一项是符合题目要求的。
24.图5为不同时期的部分货币,据图可知,其形制变化的共同原因是
商周贝币 春秋战国布币 汉五铢钱 |
图5
A.铸铁技术的进步 B.商品交易的需要
C.审美观念的不同 D.国家统一的推动
25.东汉末年,曹操在许下和各地置田官,大力发展屯田,以解决军粮供应、田亩荒芜和流民问题。“数年中所在积粟,仓廪皆满。”曹操实行屯田,客观上
A.助长了大土地所有制 B.推动了农业商品化进程
C.促进了中原人口南迁 D.缓和了社会的主要矛盾
26.唐代书法家张旭曾说:“始吾闻公主与担夫争路,而得笔法之意。后见公孙氏舞剑器,而得其神。”据此可知,张旭书法呈现出
A.书写结构的严整性 B.书写气象的灵动性
C.书写笔画的繁杂性 D.书写技法的内敛性
27.明万历年间,神宗下令工部铸钱供内府用,内阁首辅张居正“以利不胜费止之”。神宗向户部索求十万金,张居正面谏力争,“得停发太仓银十万两”。这反映出当时
A.内阁权势强大 B.皇权受到严重制约
C.社会经济凋敝 D.君权相权关系紧张
28.面对外商轮船航运势力进一步扩展,李鸿章认为:“各口岸轮船生意已被洋商占尽,华商领官船另树一帜,洋人势必挟重资以侵夺”,因此“须华商自立公司,自建行栈,自筹保险”。这表明
A.商战成为对外交往中心 B.清政府鼓励民间投资设厂
C.求富以自强方针的改变 D.洋务派准备创办民用企业
29.清帝退位诏书稿由南京临时政府拟订,袁世凯收到后擅自在诏书稿上加入“由袁世凯以全权组织临时共和政府”等内容发表。孙中山表示反对,致电袁世凯强调:“共和政府不能由清帝委任组织。”他们分歧的实质体现在
A.是否赞同共和体制 B.政府组建的主导权
C.是否进行社会革命 D.临时大总统的人选
30.1940年代中后期,中国许多工矿企业尽管账面上获得利润,但难以维持再生产,故“很多工厂把囤积原料作为主业,反以生产作为副业”。这说明,当时
A.商业的繁荣带动了工业生产 B.抗日战争的胜利推动生产恢复
C.国统区的经济秩序遭到破坏 D.国民党军阀混战扰乱经济发展
31.1983年,北京四个最大的百货商场与北京市第一商业局签订合同,规定:超额完成利润承包额的,超额部分国家与商场对半分成;完不成利润承包额的,差额部分由企业利润留成和浮动工资弥补。这反映出
A.企业活力逐步得到增强 B.国企改革全面展开
C.市场经济体制目标确立 D.现代企业制度建立
32.1549~1560年,约4776名法国逃难者进入加尔文派控制下的日内瓦,其中1536人是工匠。他们将技术和资金由奢侈品行业投入普通的钟表业,日内瓦逐步发展成为世界钟表业的摇篮。这反映出,当时
A.人文主义传播缓和了社会矛盾 B.经济发展不平衡促进技术转移
C.工匠精神决定了城市生活面貌 D.宗教改革助推日内瓦经济发展
33.美国建国初期,制宪会议的参加者麦迪逊认为,新宪法授予联邦政府的权力很少,并有明确的规定;各州所保留的权力很多,却没有明确规定。在第一届国会上,麦迪逊提出宪法修正案:除了明确授予中央政府的权力以外,其余的权力由各州自行保留。这一主张
A.赋予各州主权 B.恢复邦联制度
C.体现了分权与制衡原则 D.旨在扩大联邦政府权力
34.图6为西方绘画作品《第一步》,其代表的绘画流派

图6 第一步
A.注重内心的“自我感受” B.强化了直观印象的作用
C.强调素描的准确性 D.追求画面严整和谐
35.1964年,主要由亚非拉国家组成的七十七国集团成立。在1975~2006年联合国决议中,围绕着裁军和国际安全议题,七十七国集团成员的意见基本一致。这种状况
A.确立了世界多极化的格局
B.维护了发展中国家的共同利益
C.遏制了战后全世界范围内的军备竞赛
D.改变了发达国家主导国际政治的局面
二、非选择题:共52分。第41—42题为必考题,每个试题考生都必须作答。第45—47题为选考题,考生根据要求作答。
(一)必考题:共37分。
41.阅读材料,完成下列要求。(25分)
材料一
公元前11世纪下半叶,周公东征胜利后,在广阔的征服地域内分封其亲属子弟,拓殖建“城”,“国人”居于城内,“野人”居于城外,他们都享有一定的政治权利,国人政治身份高于野人,西周时期的“国”指天子诸侯之都城,其建设有一套理想化的标准模式。都城必置宗庙,立社稷,建高墙,是国家的象征,秦以后两千多年都城的修建往往继承了这种规划传统。
——摘编自白寿彝总主编《中国通史》等
材料二
公元前8世纪,希腊城邦兴起,为数众多的城邦一般都建在高地或山丘上,建有城墙等防御设施。城邦大多建立了大规模的神庙,是城邦的宗教中心,城市的中心广场即市政广场是城邦社会与政治活动中心。在许多城邦,人民凭着对土地的拥有权而获得公民权,可以参与城邦公共事务的讨论和执行。城邦一般以一个城市为中心,周围有大片的农村地区,这是城邦的主要经济基础。
——摘编自黄洋等主编《世界古代中世纪史》等
(1)根据材料并结合所学知识,分别概括西周时期的都城和古希腊城邦的特点。(12分)
(2)根据材料二并结合所学知识,概括古希腊城邦兴起的历史条件。(6分)
(3)根据材料并结合所学知识,分析西周政治制度对中华文明发展的影响。(7分)
42.阅读材料,完成下列要求。(12分)
材料
表1摘自1995年7~8月对江苏昆山,浙江乐清的部分农民进行的调查统计,调查对象中近60%为18~35岁的青壮年。
表1 1995年7~8月江苏昆山、浙江乐清部分农民调查统计 单位:%

——据周晓虹《传统与变迁》
根据材料并结合所学知识,就材料整体或其中任意一点拟定一个论题,并予以阐述。(要求:论题明确,持论有据,论证充分,表达清晰。)
(二)选考题:共15分。请考生从3道历史题中任选一题作答。如果多做,则按所做的第一题计分。
45.[历史——选修1:历史上重大改革回眸](15分)
材料
农奴制改革前,俄国出口商品主要包括粮食、亚麻、兽皮、皮货、木材等,粮食占出口额的35%以上;进口商品主要为工业品,即工厂所需的机器和设备、颜料、皮棉、煤。从1822年起,俄国对进口商品实行高关税,对外国商品的输入进行限制,农奴制改革后,俄国的出口结构中,农产品仍然占最大份额,粮食占出口额一半以上,主要出口英国,由于工业急需金属、机器和设备,俄国降低了保护关税税率,使进口机器的支出由1861~1865年的730万卢布增加到1876~1880年的4680万卢布。到90年代,与改革前相比,俄国对外贸易额增加2倍以上。
——摘编自(苏)B.T.琼图洛夫等编《苏联经济史》
(1)根据材料,概括俄国农奴制改革前后对外贸易的变化。(6分)
(2)根据材料并结合所学知识,简析对外贸易发生变化的原因。(9分)
46.[历史——选修3:20世纪的战争与和平](15分)
材料一
……
三、铁路与公路交通。西有平汉铁路,南有陇海铁路,东有津浦铁路,有菏泽经濮县虽公路有破坏,因平原关系,无大妨碍,仍可通车。
四、……(辖区)共18个县城,大小市镇200余个,村庄万余个,人口有300万。
五、……在粮食方面能自给有余,村庄相距有二三里,村村有沟道,便于开展游击战争。
……
七、群众组织,有自卫队、农救会、青救会、妇救会、儿童团等……
八、群众武装,一般每县有个独立团,县长兼团长;有的有个基干大队;根据地内有游击小组。
——摘自《冀鲁豫边区的概况》(1940年4月)
材料二
你们在去年一年打了大小几千次的仗,打死五万以上的敌伪军,打退了常常几倍几十倍的敌人进攻……收复了许多的失地,许多抗日根据地的面积和人口是扩大了……你们的大功劳,中国人民永远不会忘记,各国人民也已明白。
——摘自《中共中央向敌后军民致贺电》(1944年1月)
(1)根据材料一,概括冀鲁豫(边区)抗日根据地建立的条件。(8分)
(2)根据材料二并结合所学知识,简析抗日根据地对战胜日本帝国主义的贡献。(7分)
47.[历史——选修4:中外历史人物评说](15分)
材料
张九龄(678~740),韶州曲江(今广东韶关)人。七岁能文,进士及第后步入仕途,开元年间官至宰相,成为秦至唐在统一王朝任官级别最高的岭南人。张九龄为政注重民生疾苦,轻刑罚,薄赋敛,扶持农桑。其为人忠诚耿介,敢于进谏,亦终因此罢相,后有人认为这是唐朝由治到乱的分水岭。张九龄有《曲江集》传世,其诗清新自然,其文高雅严整。岭南多被时人视为蛮荒之地,而在张九龄的笔下,却是山明水秀,风光无限。他曾主持开大庾岭新路,便利了岭南与中原的交通,至今用之。张九龄“耿直温雅,风仪甚整”,人们以其家乡之名称之为“曲江风度”。明末清初著名思想家王夫之称赞他:“当年唐室无双士,自古南天第一人。”
——据《新唐书》等
(1)根据材料并结合所学知识,概括张九龄成为盛唐名相的历史背景。(6分)
(2)根据材料并结合所学知识,评价张九龄的历史贡献。(9分)
答 案

41.(25分)
(1)西周:建立在分封制基础之上,建有宗庙和社稷;国人和野人均有一定政治权利,但身份不同;有城墙等防御设施。
古希腊:公民享有参政权;建有神庙、广场、城墙等设施;小国寡民,以城市为中心。
(2)独特的自然地理环境;发达的贸易;独立自治的传统。
(3)开发了边远地区,扩大了统治区域;奠定了多民族统一国家的基础,增强了中华民族的凝聚力;礼乐制度促进了儒家学说和中国古代主流思想的形成;为中国长时期政治结构的稳定发挥了重要作用。
42.(12分)
答案略
45.(15分)
(1)以粮食为主的出口数量和以机器设备为主的进口数量明显增加;进口关税税率降低。
(2)改革促进了俄国社会经济的发展;农业商品化发展,国际粮食需求扩大;资本主义发展需要设备、资金和市场,工业化进程加快。
46.(15分)
(1)中国共产党的正确领导;粮食能够自给自足;群众基础良好,有相当力量的革命武装;有利于游击战的地理条件。
(2)沉重打击了日本侵略者,增强了抗战胜利的信心,为抗战最终胜利创造了有利条件;对减轻正面战场压力起关键作用;支援世界反法西斯战争。
47.(15分)
(1)科举制的推行和崇尚诗文的社会风气;开明纯正的政治氛围;南方的开发和中原文化在岭南的传播。
(2)为开元年间社会经济的发展发挥了积极作用;树立了贤相的典范;文学作品影响深远;一定程度上改变了人们对岭南的认知。
文科综合-政治
注意事项:
1.答题前,考生务必将自己的姓名、准考证号写在答题卡和本试卷上,并认真核对答题卡条形码上的姓名、准考证号和科目。2.回答选择题时,选出每小题答案后,用2B铅笔把答题卡上对应题目的答案标号框涂黑。如需改动,用橡皮擦干净后,再选涂其它答案标号框。回答非选择题时,将答案写在答题卡上。写在本试卷上无效。3.本试卷共16页。如遇缺页、漏印、自己不清等情况,考试须及时报告监考老师。4.考试结束后,将本试卷和答题卡一并交回。
一、选择题:本题共12小题,每小题4分,共48分。在每小题给出的四个选项中,只有一项是符合题目要求的。
12.某果园尝试新的运营模式:认养人在年初按1000元/年认养5株桃树,由果园代管,果园将收获的桃子寄给认养人。合同约定,寄送的桃子数量由桃树的实际收成确定:果园承诺有机种植,并定期通过视频或文字向认养人汇报桃子的生长情况;认养人可以去果园参观游览、参加养护采摘等活动。果园的桃树很快被认养一空。该模式的吸引力在于
①果园可提前获得销售收入,降低经营风险
②果园可扩大种植规模,提高生产效率
③认养人可获得丰富的消费体验,满足个性化需求
④认养人可全程参与果园的生产经营,维护自身权益
A.①② B.①③ C.②④ D.③④
13.“银税互动”是指税务、银保监部门和金融机构合作,帮助中小企业将纳税信用转化为融资信用,为其贷款提供便利,实现“以税促信、以信申贷”的目标。银行根据企业纳税信用等级确定免抵押、免担保的信用融资额度。到2020年4月末,“银税互动”贷款余额5732亿元,同比增长74%;贷款户数75万户,同比增长114%。“银税互动”的积极作用是
①放宽融资条件,纾解企业资金困难
②提高存贷利差,增加银行利润
③鼓励诚信纳税,降低企业融资成本
④有效控制信贷风险,改善银企关系
A.①② B.①③ C.②④ D.③④
14.近年来“电商+直播”模式迅速兴起,电商平台提供渠道和技术支持,电视台主播、影视明星、企业家等通过视频直播以折价让利、实时交流、实物展示等方式推销产品,带动了销售增长。与传统电商相比,“电商+直播”的优势在于
①借助网络平台,节约营销费用
②缩短交易环节,加速商品流通
③通过演示与互动,激发购买欲望
④利用名人效应,将“粉丝”转化为顾客
A.①② B.①④ C.②③ D.③④
15.图4反映2018~2019年中国对外货物贸易顺差情况(本题将全球经济体分为中国、“一带一路”沿线国家、美国和其他经济体)。

图4 2018~2019年中国对外货物贸易顺差
据图4可推断出
①中国对其他经济体存在货物贸易逆差
②美国是中国货物贸易顺差的重要来源
③中国货物进口额大于出口额,且差额扩大
④中国从“一带一路”沿线国家进口的商品增加
A.①② B.①③ C.②④ D.③④
16.近年来,某县各乡镇因地制宜在村委会办公楼、社区商店、医疗卫生室等地方设立近百个村民服务代办点,提供社保卡信息采集、申领老年人优待证等10多项政务服务。设立村民服务代办点
①优化了农村社区的组织结构
②能够更好实现村民民主权利
③是农村公共服务机制创新的体现
④提升了基层政府公共服务水平
A.①② B.①③ C.②④ D.③④
17.2019年5月,某市人民检察院向市住房和城乡建设局送达有关规范公共租赁住房管理的检察建议书,指出本市存在违规领取公共租赁住房租赁补贴等情况,建议该局尽快出台公共租赁住房租赁标准实施细则,依法履行职责,并要求在收到建议书两个月内书面回复。这一事例表明
①政府职能部门应当接受司法机关的监督
②向行政机关提出检察建议书是检察机关的法定职责
③行政机关必须按照检察机关的建议安排自己的工作
④行政机关与检察机关的相互制约有利于提高社会治理水平
A.①② B.①③ C.②④ D.③④
18.2019年,中央财政通过国家文物保护专项资金、非物质文化遗产保护专项资金以及中央补助地方公共文化服务体系建设专项资金等相关财政转移支付,支持加强民族语言文字出版能力建设,推动少数民族地区新闻出版广播电视事业发展。中央财政支持
①旨在推动民族地区文化事业的发展
②凸显了民族区域自治制度的优越性
③是民族地区经济社会发展的基本保障
④体现了各民族共同发展共同富裕共同繁荣原则
A.①② B.①④ C.②③ D.③④
19.**指出,中华民族历来注重敦亲睦邻,讲信修睦、协和万邦是中国一以贯之的外交理念。我们提出了亲、诚、惠、容的周边外交理念,就是要诚心诚意同邻居相处,一心一意共谋发展,携手把合作的蛋糕做大,共享发展成果。提出亲、诚、惠、容的周边外交理念
①彰显了民族文化的深厚底蕴和强大生命力
②表明传统文化焕发生机取决于时代的变迁
③增强了坚守中华传统文化内容和形式的信心
④是优秀传统文化创造性转化、创新性发展的范例
A.①② B.①④ C.②③ D.③④
20.2019年4月,世界著名文化遗产巴黎圣母院因火灾受损。11月,中法双方签署文件,决定就巴黎圣母院修复等开展合作。双方商定在2020年确定巴黎圣母院保护修复合作的主题、模式及中方专家人选,同时明确双方将就陕西秦始皇陵兵马俑保护开展技术与科学交流及培训项目。中法开展文化遗产修复和保护合作旨在
①丰富世界文化的多样性
②促进中法文化交流互鉴
③赋予中法传统文化新的时代内涵
④推动中法文化在取长补短中共同发展
A.①② B.①③ C.②④ D.③④
21.“岁月不居,时节如流”。这客观规律谁也无法改变,可以改变的是人们对待时间的态度。毛泽东讲,“一万年太久,只争朝夕”。邓小平说,“我就担心丧失机会。不抓呀,看到的机会就丢掉了,时间晃就过去了”。 人们在时间规律面前要“争”,要“抓”,其哲学依据是
①时间的价值因人而异,没有客观性
②承认时间规律的客观性是科学利用时间的前提
③时间规律的普遍性决定了人们对待时间态度的统一性
④时间的流逝是客观的,对时机的把握需要发挥主观能动性
A.①② B.①③ C.②④ D.③④
22.1869年,门捷列夫公布了自己制作的元素周期表,将已发现的化学元素纳入一个统一的体系中。依据元素周期律,门捷列夫推断当时的一些原子量测定结果存在误差,预言“类铝”(镓)、“类硼”(钪)等当时尚未发现元素的存在,他的推断和预言后来在实验中被逐一证实。这表明
①科学发现来源于认识的不断深化与积累
②科学原理对探索和发现客观真理具有指导作用
③任何科学理论都必须在实践中验证自己的真理性
④科学原理——科学预测——实践检验是认识发展的一般规律
A.①② B.①④ C.②③ D.③④
23.十三届全国人大三次会议通过的《中华人民共和国民法典》,是一部体现对生命健康、财产安全、交易便利、生活幸福、人格尊严等民众各方面权利平等保护的基础性法律,对加快建设社会主义法治国家,发展社会主义市场经济,依法维护人民权益,推进国家治理体系和治理能力现代化,都具有重大意义。制定民法典体现的唯物史观原理是
①经济基础的变革总是先于上层建筑的变革
②上层建筑为经济基础服务,就能推动生产力发展
③上层建筑的变化发展离不开社会意识的能动作用
④上层建筑定要适合生产力和经济基础发展的要求
A.①② B.①③ C.②④ D.③④
二、非选择题:共52分。
38.阅读材料,完成下列要求。(14分)
家庭农场是以家庭成员为主要劳动力,从事农业规模化、集约化、商品化生产经营,并以农业收入为家庭主要收入来源的农业组织形式,2013年中央“一号文件”首次提出具体农场。2019年中央“一号文件”提出“全面深化农村改革,激发乡村发展活力”,并再次强调要坚持家庭经营基础地位,突出培育家庭农场等新型农业经营主体。
近年来,我国家庭农场发展迅速,数量已经超过87.7万户,据2019年农业农村部信息:我国家庭农场大多由小农户升级而来,经营规模在20~200之间;家庭农场主要从事种植业、养殖业和种养结合,其中种植业农场有56.1%采用了喷灌技术,养殖业农场有近80%进行了粪便资源化、综合循环利用和无害化处理;在不少家庭农场中,父辈负责生产、子女负责营销,经营的农产品有以自己名字命名的品牌;全国有36.9%的家庭农场加入聊农民合作社,参与和分享农机、良种、技术、订单等服务。
结合材料并运用经济知识,说明发展家庭农场对于激发乡村经济活力的积极作用。
39.阅读材料,完成下列要求。(12分)
新型冠状病毒肺炎是近百年来人类遭遇的影响范围最广的全球性大流行病,对全世界是一次严重危机和严峻考验。人类生命安全和健康面临重大威胁。
面对突如其来、来势汹汹的疫情天灾,中国果断打响疫情防控阻击战,把人民生命安全和身体健康放在第一位,采取最全面最严格最彻底的防控措施,取得了抗击疫情重大战略成果,毫不保留同各方分享防控和救治经验,尽己所能向国际社会提供人道主义援助,支持全球抗击疫情。
2020年3月26日,**出席二十国集团领导人特别峰会并发表《携手抗议 共克时艰》讲话,倡议打好新冠肺炎疫情防控全球阻击战,有效开展国际联防联控,积极支持国际组织发挥作用,加强国际宏观经济政策协调。
结合材料并运用政治生活知识,分析打赢新冠肺炎疫情防控全球阻击战为什么要秉持人类命运共同体理念。
40.阅读材料,完成下列要求。(26分)
黄河是中华民族的母亲河,也是一条桀骜难驯的忧患河。“九曲黄河万里沙”,三年两决口、百年一改道,曾给沿岸百姓带来深重灾难。中华民族始终在同黄河水早灾害作斗争,但是受主客观条件的制约,黄河屡治屡决的状况没有得到根本改观。
20世纪中叶,黄河治理的千古难题历史性地交到了中国共产党人手中。1952年,毛泽东发出“要把黄河的事情办好”的伟大号召,动员和激励了千百万黄河儿女兴修水利、筑坝拦洪、修复生态,开启了破解黄河治理千古难题之旅。经过几代人不屈不挠的顽强拼搏,特别是党的十八大以来按照“节水优先、空间均衡、系统治理、两手发力”的治水思路进行的全面整治,黄河水沙治理取得显著成效,实现连续20年不断流,黄河流域生态环境持续明显向好,经济社会发展水平不断提升,黄河儿女交出了一份优异的治黄答卷。
2019年9月,**郑重宣布,黄河流域生态保护和高质量发展是重大国家战略。他深入剖析黄河水少沙多等难题症结,强调黄河治理要坚持“绿水青山就是金山银山”的理念;坚持生态优先、绿色发展,紧紧抓住水沙关系调节这个“牛鼻子”;坚持山水林田湖草综合治理、系统治理、源头治理。**关于黄河治理的战略思想,为“让黄河成为造福人民的幸福河”提供了行动指南。
(1)运用整体与部分辩证关系原理说明黄河治理战略思想的科学性。(12分)
(2)结合材料并运用文化力量的知识,分析新中国黄河治理交出优异答卷的原因。(10分)
(3)请就更好地守护黄河撰写两条公益宣传广告用语。要求紧扣主题,朗朗上口,每条在16个字以内。(4分)
参考答案

38.促进农村土地流转与规模经营,提高农业劳动生产率;促使先进农业技术应用,提高农产品产量和品质;推进农业品牌化、专业化经营,增强农产品市场竞争力;拓宽农民合作社服务范围,推动乡村产业融合发展。
39.经济全球化背景下,国家之间交往日益频繁、相互依存日益紧密,在重大传染性疾病面前各国都难以独善其身;全球疫情防控,事关维护全球公共卫生安全,事关人类前途命运;只有秉持人类命运共同体理念,团结合作,携手应对,才能打赢疫情防控全球阻击战,恢复经济社会发展,护佑世界和人民康宁。
40.(1)整体与部分的关系原理要求树立全局观念,立足整体,头筹全局,抓住关键部分,选择最优方案。黄河治理是一个系统工程,涉及环境修复保护和生产生活各个方面。黄河治理的战略思想坚持生态优先,紧紧抓住水沙关系调节这个关键,推动黄河治理工作整体发展;坚持综合治理、系统治理、源头治理,统筹水沙治理、环境保护、经济发展和民众生活各项工作,实现整体最优目标。
(2)文化作为一种精神力量,能够在人们认识、改造世界的过程中转化为物质力量,对社会发展产生深刻的影响。中国共产党关于治理黄河的号召、思路和战略,为黄河治理提供了强大精神动力和实践指南;千百万黄河儿女发扬不屈不挠、顽强拼搏的奋斗精神,兴修水利,治沙治水,恢复生态,交出了一份优异的治黄答卷。
(3)打造生态黄河,造福子孙后代。爱护黄河母亲,共建美丽中国。一条大河惠两岸,生态治理是关键。




