 江苏高考数学" />
江南电竞logo> >江苏高考 >江苏高考试题 >江苏数学试题 >

2020江苏高考数学试题及答案解析

时间: 数学试题

参考答案

1、

2、3

3、2

4、

5、

6、

7、

8、

9、

10、

11、4

12、

13、

14、

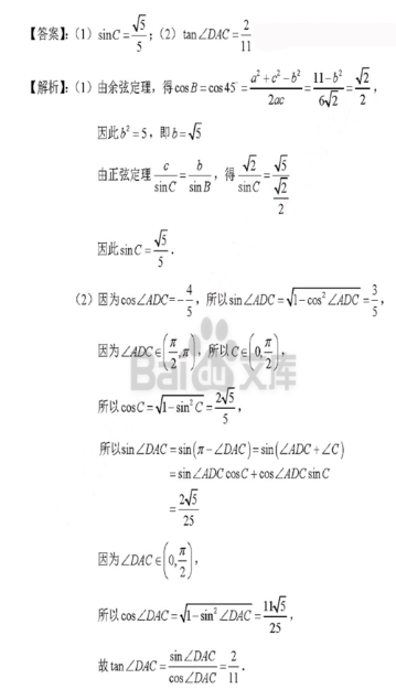
15、

16、

17、

18、

19、

20、

来源:百度文库