2021年西藏高考理综真题答案解析
参考答案
1-5 CBDBA
6-10 CCCDB
11-15 DBDDC
16-18 BAC
19.BD
20.BC
21.AB
22.(1).0.43 (2).0.32
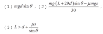
23.(1).10 (2). a (3).0.7 (4).2700 (5).增大 (6).0.074 (7).10
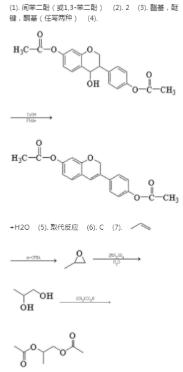
24.
25.
26.
27.
28.
29.(1).具有一定的流动性 (2).蛋白质 (3).顺浓度或选择性 (4).细胞逆浓度梯度吸收K+是主动运输过程,需要能量,呼吸抑制剂会影响细胞呼吸供能,故使细胞主动运输速率降低
30.(1).dATP脱去β、γ位上的两个磷酸基团后,则为腺嘌呤脱氧核苷酸,是合成DNA的原料之一 (2).防止RNA分子与染色体DNA的W基因片段发生杂交 (3).解旋 (4).DNA酶
31.(1).避免自己没有食物,无法生存下去 (2).单向流动,逐级递减 (3).(赛达伯格湖)湖泊
32.(1).基因型不同的两个亲本杂交,F1分别统计,缺刻叶∶全缘叶=1∶1,齿皮∶网皮=1∶1,每对相对性状结果都符合测交的结果,说明这2对相对性状的遗传均符合分离定律 (2).缺刻叶和齿皮 (3).甲和乙 (4).1/4 (5).果皮 (6).F2中齿皮∶网皮=48∶16=3∶1,说明受一对等位基因控制
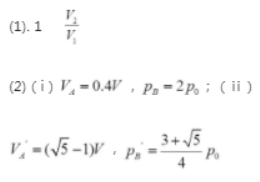
33.
34.
35.
36.
37.(1).蛋白酶 (2).脂肪酶 (3).蛋白酶和脂肪酶 (4).加酶洗衣粉A和加酶洗衣粉C (5).蚕丝织物的主要成分是蛋白质,会被蛋白酶催化水解 (6).酶可以将大分子有机物分解为小分子有机物,小分子有机物易溶于水,从而将污渍与洗涤物分开 (7).利用物理或化学方法将酶固定在一定空间内的技术 (8).固定在载体上的酶可以被反复利用,可降低生产成本(或产物容易分离,可提高产品的产量和质量,或固定化酶稳定性好,可持续发挥作用)
38.(1).④②③① (2).Taq酶(热稳定DNA聚合酶) (3). 延伸 (4). Taq酶从引物起始进行互补链的合成 (5).两条单链DNA (6).一项在生物体外复制特定DNA片段的核酸合成技术



