江南电竞logo >山东高考 >山东高考试题 >山东数学试题 >

山东菏泽2025年高三一模数学试题及答案

时间: 山东 数学试题

山东菏泽2025年高三一模数学考试已于近日开考,为方便考生考后及时查看考试情况,查漏补缺、弥补不足,本文整理了试题答案解析相关信息!

汇总:山东菏泽2025年高三一模考试试题及答案汇总

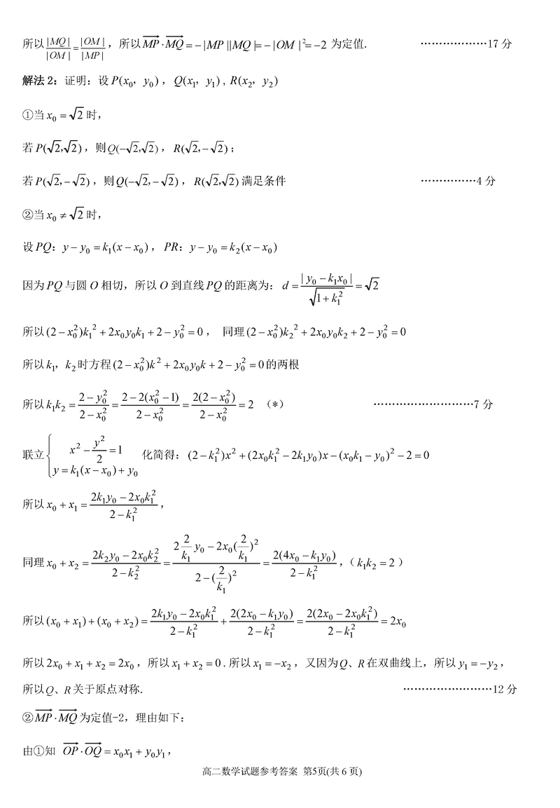
数学试题及答案解析